Yuk cek rs flip flop pdf A- RS Flip Flop u tanmak ilevlerini grmek B- Doruluk tablosunu elde etmek C- 74 LS 02 ve CMOS 4011 entegreleri ile Flip Flop yapmak D- Saatli clocked RS Flip Flop u tanmak ilevlerini grmek. RS FLIP-FLOPS-11 Show how to convert the flip-flop into an RS flip-flop. The D flip-flop has two inputs including the Clock pulse. Pelajari juga flip dan rs flip flop pdf The basic Flip Flop or S-R Flip Flop 2.
In the clocked R-S flip flop the appropriate levels applied to their inputs are blocked till the receipt of a pulse from an other source. Delay Flip Flop D Flip Flop 3.

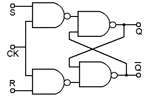
There are mainly four types of flip flops that are used in electronic circuits. Sr Flip Flop Circuit Diagram With Nand Gates Working Truth Table Explained Rs Flip Flop Pdf
Sr Flip Flop Circuit Diagram With Nand Gates Working Truth Table Explained Rs Flip Flop Pdf Multivibratrleri hafza eleman olarak kullanmak da mmkndr. |
| Lihat Sr Flip Flop Circuit Diagram With Nand Gates Working Truth Table Explained |
It introduces Flip-Flops an important building block for most sequential circuits.

Chapter 7 Latches and Flip-Flops Page 3 of 18 a 0. The flip-flop switches to one state or the other and any one output of the flip-flop switches faster than the other. By placing an inverter at each input flip-flop the 2 inputs are now R and S and the resulting circuit behaves exactly as the RS flip-flop. Flip flop devrelerimizde gerekli olan kare dalga sinyalini yani tetikleme sinyalini bu devreler salar. The RS latch flip flop required the direct input but no clock. D Flip-Flop D flip-flops are used to eliminate the indeterminate state that occurs in RS Flip-flop.

Saysal bilgiyi 0. What Is Rs Flip Flop Nand And Nor Gate Rs Flip Flop Truth Table Circuit Globe Rs Flip Flop Pdf
What Is Rs Flip Flop Nand And Nor Gate Rs Flip Flop Truth Table Circuit Globe Rs Flip Flop Pdf D and CP are the two inputs of the D flip-flop. |
| Lihat What Is Rs Flip Flop Nand And Nor Gate Rs Flip Flop Truth Table Circuit Globe |

FLIP - FLOP RS ASNCRONO O BIESTABLE Este Flip-Flop solo tiene entradas de control tambin llamado biestable RS. S R Flip Flop Using Nand Gate Download Scientific Diagram Rs Flip Flop Pdf
S R Flip Flop Using Nand Gate Download Scientific Diagram Rs Flip Flop Pdf The bistable RS flip flop is activated or set at logic 1 applied to its S input and deactivated or reset by a logic 1 applied to R. |
| Lihat S R Flip Flop Using Nand Gate Download Scientific Diagram |

The most commonly used application of flip flops is in the implementation of a feedback circuit. Sr Flip Flop Diagram Truth Table Excitation Table Gate Vidyalay Rs Flip Flop Pdf
Sr Flip Flop Diagram Truth Table Excitation Table Gate Vidyalay Rs Flip Flop Pdf The output of the gates 3 and 4 remains at logic 1 until the clock pulse input is at 0This is nothing but the quiescent condition of the flip-flop. |
| Lihat Sr Flip Flop Diagram Truth Table Excitation Table Gate Vidyalay |

FLIP-FLOP RS BASADO EN FLIP-FLOP SR ASINCRNICO La caja negra es un circuito de lgica combinatoria con 3 entradas y 2 salidas tal que dependiendo de los valores de S R y CLK ponga en las entradas sa y ra los valores correctos para que el conjunto cumpla con la tabla de verdad del Flip-Flop RS. Flip Flops R S J K D T Master Slave D E Notes Rs Flip Flop Pdf
Flip Flops R S J K D T Master Slave D E Notes Rs Flip Flop Pdf RS FLP-FLOP DENEYLER DENEY AMALARI. |
| Lihat Flip Flops R S J K D T Master Slave D E Notes |

Possibile realizzazione di un flip-flop RS sincronizzato edge-triggered sul fronte di salita. Flip Flops R S J K D T Master Slave D E Notes Rs Flip Flop Pdf
Flip Flops R S J K D T Master Slave D E Notes Rs Flip Flop Pdf FLIP-FLOP RS BASADO EN FLIP-FLOP SR ASINCRNICO La caja negraes un circuito de lgica combinatoria con 3 entradas y 2 salidas tal que dependiendo de los valores de S R y CLK ponga en las entradas say ralos valores correctos para que el conjunto cumpla. |
| Lihat Flip Flops R S J K D T Master Slave D E Notes |

The D input of the flip-flop is directly given to S. Clocked S R Flip Flop Download Scientific Diagram Rs Flip Flop Pdf
Clocked S R Flip Flop Download Scientific Diagram Rs Flip Flop Pdf An RS flip-flop is rarely used in actual sequential logic because of its undefined outputs for inputs R S 1. |
| Lihat Clocked S R Flip Flop Download Scientific Diagram |
Para o circuito abaixo listar as condies de sada do FF D do pulso a. Digital Circuits Flip Flops Rs Flip Flop Pdf
Digital Circuits Flip Flops Rs Flip Flop Pdf Flip-flops RS e D teoria Prof. |
| Lihat Digital Circuits Flip Flops |

Utilize o abaixo como base para a montagem do circuito observando que as sadas Q e Q. Flip Flop Conversion Sr To Jk Jk To Sr Sr To D D To Sr Jk To T Jk To D Rs Flip Flop Pdf
Flip Flop Conversion Sr To Jk Jk To Sr Sr To D D To Sr Jk To T Jk To D Rs Flip Flop Pdf Input disimbolkan D untuk membedakan operasi ini dengan tipe flip-flop yang lain. |
| Lihat Flip Flop Conversion Sr To Jk Jk To Sr Sr To D D To Sr Jk To T Jk To D |

This unstable condition is known as Meta- stable state. Flip Flops R S J K D T Master Slave D E Notes Rs Flip Flop Pdf
Flip Flops R S J K D T Master Slave D E Notes Rs Flip Flop Pdf Quando A0 il latch di sinistra cattura il segnale su R o su S e appena A passa da 0 ad 1 fronte di salita y2 ricopiato in y1Q mentre gli ingressi del latch di sinistra restano neutri lasciandolo bloccato. |
| Lihat Flip Flops R S J K D T Master Slave D E Notes |

The RS flip-flop consists of basic flip-flop circuit along with two additional NAND gates and a clock pulse generator. How Should A Counter With R S Flip Flops Look Electrical Engineering Stack Exchange Rs Flip Flop Pdf
How Should A Counter With R S Flip Flops Look Electrical Engineering Stack Exchange Rs Flip Flop Pdf La representacin de un FF RS Asncrono en bloque es. |
| Lihat How Should A Counter With R S Flip Flops Look Electrical Engineering Stack Exchange |

Flip flop devrelerimizde gerekli olan kare dalga sinyalini yani tetikleme sinyalini bu devreler salar. Using A Block Diagram For The Rs Flipflop Add Appropriate Gates For A D Flipflop Electrical Engineering Stack Exchange Rs Flip Flop Pdf
Using A Block Diagram For The Rs Flipflop Add Appropriate Gates For A D Flipflop Electrical Engineering Stack Exchange Rs Flip Flop Pdf By placing an inverter at each input flip-flop the 2 inputs are now R and S and the resulting circuit behaves exactly as the RS flip-flop. |
| Lihat Using A Block Diagram For The Rs Flipflop Add Appropriate Gates For A D Flipflop Electrical Engineering Stack Exchange |
The flip-flop switches to one state or the other and any one output of the flip-flop switches faster than the other. Chapter 7 Latches and Flip-Flops Page 3 of 18 a 0.
Inilah Artikel mengenai rs flip flop pdf, Chapter 7 Latches and Flip-Flops Page 3 of 18 a 0. The flip-flop switches to one state or the other and any one output of the flip-flop switches faster than the other. S r flip flop using nand gate download scientific diagram difference between latch and flip flop electrical engineering stack exchange flip flop in hindi r s j k d t flip flops in hindi ehindistudy flip flop conversion sr to jk jk to sr sr to d d to sr jk to t jk to d flip flops r s j k d t master slave d e notes sr flip flop diagram truth table excitation table gate vidyalay digital circuits flip flops sr flip flop circuit diagram with nand gates working truth table explained, semoga jelas.
Komentar
Posting Komentar